Znajdź ładunek zgromadzony na powierzchni aluminiowej kuli o promieniu 40 cm, wiedząc, że wektor natężenia w odległości r = 120 cm od jej powierzchni ma wartość
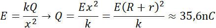
Wiedząc, że natężenie pola na powierzchni metalowej kuli dane jest wzorem:
Zatem, aby znaleźć ładunek zgromadzony na niej, wystarczy przekształcić wzór:
Ładunek zgromadzony na kuli jest ujemny, zatem Q = – 35,6 nC.
Skorzystano ze wzoru na natężenie pola elektrycznego. Wektor natężenia skierowany jest od wyższego do niższego potencjału, zatem skoro w nieskończoności potencjał jest 0, a wektor natężenia idzie od nieskończoności do ładunku, to oznacza, że na kuli potencjał jest mniejszy od 0, zatem ładunek jest ujemny.
Zadanie 12.4.1
114Zadanie 12.4.4
115Zadanie 12.1.4
96Zadanie 12.1.5
96Zadanie 12.1.6
97Zadanie 12.1.7
97Zadanie 12.1.8
97Zadanie 12.4.10
116Zadanie 12.1.11
97Zadanie 12.1.14
98Zadanie 12.2.1
103Zadanie 12.2.2
103Zadanie 12.5.1
122Zadanie 12.5.3
123Zadanie 12.5.5
124Zadanie 12.5.7
124Zadanie 12.6.2
131Zadanie 12.6.3
132Zadanie 12.6.6
132Zadanie 12.6.7
133Zadanie 12.6.8
133Zadanie 12.6.9
133Zadanie 12.6.13
134Zadanie 12.1.4
140Zadanie 12.1.8
140Zadanie 12.1.11
141Zadanie 12.1.14
142Zadanie 12.1.15
142Zadanie 1.1
147Zadanie 1.2
148Zadanie 1.3
148