Do znalezienia potencjału pola (dla r ³ R) konieczny będzie wzór:
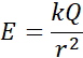
Zaś do znalezienia natężenia pola (dla r³R):
Dla r1 = 10 cm znajdujemy się wewnątrz kuli, a jak wiadomo wewnątrz kuli przewodzącej, natężenie pola wewnątrz jest 0, natomiast potencjał jest wewnątrz taki sam, jak na brzegach z tego powodu korzystając ze wzoru na potencjał, dostaniemy:
Dla punktów x2 i x3 wstawiając bezpośrednio do wzorów (są one już poza kulą, więc można) otrzymujemy następujące wartości:
Fakt, że potencjał wewnątrz metalowej kuli jest stały, wynika z faktu, że w metalu cały ładunek ucieka na brzegi, dzięki czemu wewnątrz kuli natężenie pola wynosi 0, zatem potencjał musi być stały i równy temu na brzegu, który z kolei zawsze można obliczyć z podanego wyżej wzoru.