Między płytki separatora elektrycznego opada drobina kurzu o masie 0,02 mg. W trakcie spadku o 10 cm, pole elektryczne o natężeniu
Korzystając z wyników z poprzedniej części zadania, wiadomo, że:
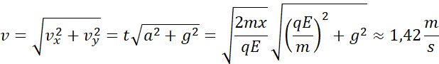
Aby znaleźć prędkość pyłku, skorzystaj z twierdzenia Pitagorasa:
Skorzystano z wyników z poprzedniej części zadania, a także Twierdzenia Pitagorasa. Za chwilę t przyjęto moment, kiedy pyłek już opadł.
Zadanie 12.4.1
114Zadanie 12.4.4
115Zadanie 12.1.4
96Zadanie 12.1.5
96Zadanie 12.1.6
97Zadanie 12.1.7
97Zadanie 12.1.8
97Zadanie 12.4.10
116Zadanie 12.1.11
97Zadanie 12.1.14
98Zadanie 12.2.1
103Zadanie 12.2.2
103Zadanie 12.5.1
122Zadanie 12.5.3
123Zadanie 12.5.5
124Zadanie 12.5.7
124Zadanie 12.6.2
131Zadanie 12.6.3
132Zadanie 12.6.6
132Zadanie 12.6.7
133Zadanie 12.6.8
133Zadanie 12.6.9
133Zadanie 12.6.13
134Zadanie 12.1.4
140Zadanie 12.1.8
140Zadanie 12.1.11
141Zadanie 12.1.14
142Zadanie 12.1.15
142Zadanie 1.1
147Zadanie 1.2
148Zadanie 1.3
148