W wierzchołkach kwadratu o boku a umieszczono trzy ładunki, w taki sposób, że w czwartym wierzchołku natężenie pola wynosi 0. Ładunki na dwóch przeciwległych wierzchołkach (B i D) mają wartość
Warto zauważyć, że wypadkowe natężenie w punkcie A pochodzące od ładunków w punktach B i D będzie leżało na prostej przechodzącej przez punkty A i C. Rozkładając natężenia pochodzące od punktów B i D na składowe leżące na tej prostej, otrzymujemy
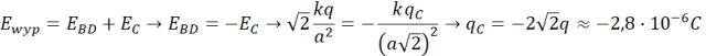
Kolejnym warunkiem jest, aby
Z geometrii problemu widać, że składowe natężenia leżące na prostej przechodzącej przez punkty D i B skasują się, zatem odgrywają rolę tylko składowe wektorów natężeń leżące na prostej przechodzącej przez A i C. Znak ładunku jak można było się domyślić, musi być ujemny.
Zadanie 12.4.1
114Zadanie 12.4.4
115Zadanie 12.1.4
96Zadanie 12.1.5
96Zadanie 12.1.6
97Zadanie 12.1.7
97Zadanie 12.1.8
97Zadanie 12.4.10
116Zadanie 12.1.11
97Zadanie 12.1.14
98Zadanie 12.2.1
103Zadanie 12.2.2
103Zadanie 12.5.1
122Zadanie 12.5.3
123Zadanie 12.5.5
124Zadanie 12.5.7
124Zadanie 12.6.2
131Zadanie 12.6.3
132Zadanie 12.6.6
132Zadanie 12.6.7
133Zadanie 12.6.8
133Zadanie 12.6.9
133Zadanie 12.6.13
134Zadanie 12.1.4
140Zadanie 12.1.8
140Zadanie 12.1.11
141Zadanie 12.1.14
142Zadanie 12.1.15
142Zadanie 1.1
147Zadanie 1.2
148Zadanie 1.3
148