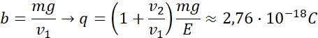
Ważne jest zauważenie faktu, iż w przypadku ośrodka jak powietrze, opór działający na ciało poruszające się w nim zależy liniowo od prędkości i można zapisać jako Fopór = b v. Poniżej znajduje się równanie ruchu dla siły działające na ciało, wiedząc, że ich wypadkowa wynosi 0, dla obydwu przypadków:
Zatem wstawiając jedno równanie do drugiego, otrzymuje się:
Trzeba jeszcze obliczyć, ile ładunków elementarnych znajduje się w jednej kropli. Tak więc:
Kluczowe było znalezienie funkcji oporu powietrza od prędkości, następnie skorzystano z faktu, że każde z ciał poruszało się ze stałą prędkością, zatem wypadkowa sił działających na ciało wynosi 0. Z treści wynika, że siła elektrostatyczna przyspieszyła ciało, więc działa z tym samym zwrotem co siła grawitacji. Aby znaleźć ilość ładunków elementarnych, podzielono całkowity ładunek przez ładunek pojedynczego elektronu.