Jaki będzie potencjał dużej kropli powstałej po złączeniu się 64 kropelek o potencjale 4 V każda.
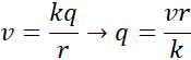
Ładunek na każdej z kulek dany jest wzorem:
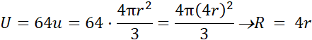
Warto sprawdzić jeszcze promień dużej kulki powstałej po połączeniu 64 kropelek małych.
Zatem dla dużej kulki po połączeniu:
Najpierw znaleziono promień dużej kropli, a następnie korzystając z zasady zachowania ładunku, znaleziono jej ładunek i potencjał.
Zadanie 12.4.1
114Zadanie 12.4.4
115Zadanie 12.1.4
96Zadanie 12.1.5
96Zadanie 12.1.6
97Zadanie 12.1.7
97Zadanie 12.1.8
97Zadanie 12.4.10
116Zadanie 12.1.11
97Zadanie 12.1.14
98Zadanie 12.2.1
103Zadanie 12.2.2
103Zadanie 12.5.1
122Zadanie 12.5.3
123Zadanie 12.5.5
124Zadanie 12.5.7
124Zadanie 12.6.2
131Zadanie 12.6.3
132Zadanie 12.6.6
132Zadanie 12.6.7
133Zadanie 12.6.8
133Zadanie 12.6.9
133Zadanie 12.6.13
134Zadanie 12.1.4
140Zadanie 12.1.8
140Zadanie 12.1.11
141Zadanie 12.1.14
142Zadanie 12.1.15
142Zadanie 1.1
147Zadanie 1.2
148Zadanie 1.3
148