Między okładki kondensatora wsuwa się dielektryk o względnej przenikalności er = 3,7. Określ, jak zmieni się ładunek zgromadzony na kondensatorze w przypadku gdy:
1) po naładowaniu odłączono go od źródła,
2) jest cały czas podłączony do źródła.
1) Wówczas Q = const , zatem:
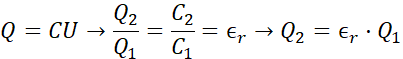
2) Wówczas U = const zatem:
Skorzystano ze wzoru na pojemność kondensatora. W pierwszym przypadku z założenia ładunek był stały, zaś w drugim wystarczyło porównać wzory na pojemność kondensatora.
Zadanie 12.4.1
114Zadanie 12.4.4
115Zadanie 12.1.4
96Zadanie 12.1.5
96Zadanie 12.1.6
97Zadanie 12.1.7
97Zadanie 12.1.8
97Zadanie 12.4.10
116Zadanie 12.1.11
97Zadanie 12.1.14
98Zadanie 12.2.1
103Zadanie 12.2.2
103Zadanie 12.5.1
122Zadanie 12.5.3
123Zadanie 12.5.5
124Zadanie 12.5.7
124Zadanie 12.6.2
131Zadanie 12.6.3
132Zadanie 12.6.6
132Zadanie 12.6.7
133Zadanie 12.6.8
133Zadanie 12.6.9
133Zadanie 12.6.13
134Zadanie 12.1.4
140Zadanie 12.1.8
140Zadanie 12.1.11
141Zadanie 12.1.14
142Zadanie 12.1.15
142Zadanie 1.1
147Zadanie 1.2
148Zadanie 1.3
148