Znajdź natężenie pola elektrycznego, wiedząc, że po jego pojawieniu się prędkość opadania pyłku o masie m = 4,9
Wprowadza się siłę oporu zależną od prędkości wzorem: Fopór = bv, a następnie zapisuje się równowagę sił dla spadającego ciała:
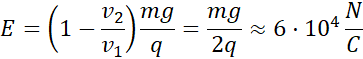
Dostaje się więc układ równań, którego rozwiązaniem jest:
Kluczowe było znalezienie funkcji oporu powietrza od prędkości, następnie skorzystano z faktu, że każde z ciał poruszało się ze stałą prędkością, zatem wypadkowa sił działających na ciało wynosi 0. Z treści wynika, że siła elektrostatyczna wyhamowała ciało, tak więc przyjęto, że działa ze zwrotem przeciwnym do siły grawitacji.
Zadanie 12.4.1
114Zadanie 12.4.4
115Zadanie 12.1.4
96Zadanie 12.1.5
96Zadanie 12.1.6
97Zadanie 12.1.7
97Zadanie 12.1.8
97Zadanie 12.4.10
116Zadanie 12.1.11
97Zadanie 12.1.14
98Zadanie 12.2.1
103Zadanie 12.2.2
103Zadanie 12.5.1
122Zadanie 12.5.3
123Zadanie 12.5.5
124Zadanie 12.5.7
124Zadanie 12.6.2
131Zadanie 12.6.3
132Zadanie 12.6.6
132Zadanie 12.6.7
133Zadanie 12.6.8
133Zadanie 12.6.9
133Zadanie 12.6.13
134Zadanie 12.1.4
140Zadanie 12.1.8
140Zadanie 12.1.11
141Zadanie 12.1.14
142Zadanie 12.1.15
142Zadanie 1.1
147Zadanie 1.2
148Zadanie 1.3
148