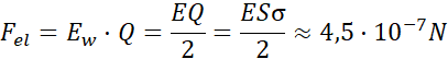
Skoro kondensator jest wykonany symetrycznie, to połowa całkowitego pola pochodzi od jednej okładki, a druga połowa od drugiej. Każda z okładek nie czuje „swojego” pola, tylko pole sąsiada zatem siła działająca na każdą okładek pochodzą od ich wzajemnego oddziaływania, wynosi:
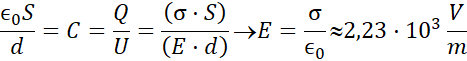
Skorzystano ze wzorów na pojemność kondensatora. Uwzględniono także fakt, że pole między okładkami kondensatora jest jednorodne ( dzięki czemu można użyć wzoru