Znajdź ładunek, jaki przepłynął pomiędzy kulami o promieniach R1 = 15 cm i R2 = 5 cm i ładunkach Q1 = 35 nC i Q2 = – 15 nC po ich zetknięciu, a także jaka była zmiana potencjału na każdej z nich, skoro po połączeniu uzyskały potencjał 900 V.
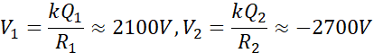
Najpierw warto sprawdzić, jaki był potencjał na każdej kul przed zetknięciem:
Następnie, aby znaleźć zmianę potencjałów, wystarczy odjąć je od potencjału końcowego:
Pozostaje sprawdzić, ile ładunku przepłynęło:
Skorzystano ze wzoru na potencjał naładowanej kuli, a do obliczenia ładunku, jaki przepłynął z jednej kuli na drugą, można było równie dobrze wykonać obliczenia dla drugiej kuli, wynik otrzymanoby ten sam.
Zadanie 12.4.1
114Zadanie 12.4.4
115Zadanie 12.1.4
96Zadanie 12.1.5
96Zadanie 12.1.6
97Zadanie 12.1.7
97Zadanie 12.1.8
97Zadanie 12.4.10
116Zadanie 12.1.11
97Zadanie 12.1.14
98Zadanie 12.2.1
103Zadanie 12.2.2
103Zadanie 12.5.1
122Zadanie 12.5.3
123Zadanie 12.5.5
124Zadanie 12.5.7
124Zadanie 12.6.2
131Zadanie 12.6.3
132Zadanie 12.6.6
132Zadanie 12.6.7
133Zadanie 12.6.8
133Zadanie 12.6.9
133Zadanie 12.6.13
134Zadanie 12.1.4
140Zadanie 12.1.8
140Zadanie 12.1.11
141Zadanie 12.1.14
142Zadanie 12.1.15
142Zadanie 1.1
147Zadanie 1.2
148Zadanie 1.3
148