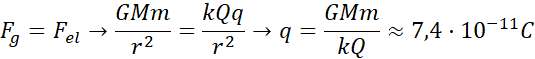
Kulkę o masie M = 10 kg naładowano ładunkiem 1 pC. Znajdź ładunek kulki o masie 1 g ,skoro przemieszczanie jej w pobliżu dużej kulki nie wymaga pracy
Skoro przemieszczanie w pobliżu powierzchni dużej kulki nie wymaga pracy, oznacza to, że jest ona tam w położeniu równowagi, czyli działające na nią siły się równoważą.
Zadanie 12.4.1
114Zadanie 12.4.4
115Zadanie 12.1.4
96Zadanie 12.1.5
96Zadanie 12.1.6
97Zadanie 12.1.7
97Zadanie 12.1.8
97Zadanie 12.4.10
116Zadanie 12.1.11
97Zadanie 12.1.14
98Zadanie 12.2.1
103Zadanie 12.2.2
103Zadanie 12.5.1
122Zadanie 12.5.3
123Zadanie 12.5.5
124Zadanie 12.5.7
124Zadanie 12.6.2
131Zadanie 12.6.3
132Zadanie 12.6.6
132Zadanie 12.6.7
133Zadanie 12.6.8
133Zadanie 12.6.9
133Zadanie 12.6.13
134Zadanie 12.1.4
140Zadanie 12.1.8
140Zadanie 12.1.11
141Zadanie 12.1.14
142Zadanie 12.1.15
142Zadanie 1.1
147Zadanie 1.2
148Zadanie 1.3
148