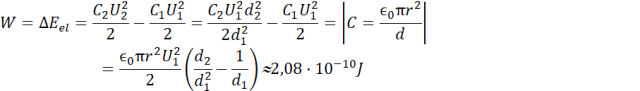
Dwie płytki o średnicy 20 cm i masie 5 dag każda odległe od siebie o 1 cm podłączono do napięcia 4,5 V/ Jaką pracę należy wykonać, aby je rozsunąć na 2 cm, jeśli odłączono kondensator.
Q = const, zatem można zapisać:
Chcąc teraz znaleźć pracę zapisuje się zmianę energii całego układu
Skorzystano ze wzoru na pojemność i energię kondensatora. Założenie Q = const bierze się z tego, że po odłączeniu baterii ładunek nie ma gdzie uciekać z układu, zatem jest stały.
Zadanie 12.4.1
114Zadanie 12.4.4
115Zadanie 12.1.4
96Zadanie 12.1.5
96Zadanie 12.1.6
97Zadanie 12.1.7
97Zadanie 12.1.8
97Zadanie 12.4.10
116Zadanie 12.1.11
97Zadanie 12.1.14
98Zadanie 12.2.1
103Zadanie 12.2.2
103Zadanie 12.5.1
122Zadanie 12.5.3
123Zadanie 12.5.5
124Zadanie 12.5.7
124Zadanie 12.6.2
131Zadanie 12.6.3
132Zadanie 12.6.6
132Zadanie 12.6.7
133Zadanie 12.6.8
133Zadanie 12.6.9
133Zadanie 12.6.13
134Zadanie 12.1.4
140Zadanie 12.1.8
140Zadanie 12.1.11
141Zadanie 12.1.14
142Zadanie 12.1.15
142Zadanie 1.1
147Zadanie 1.2
148Zadanie 1.3
148