Znajdź wypadkową sił działających na ładunek q4 umieszczony w punkcie D. Podaj jej kierunek i zwrot.
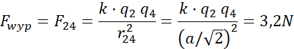
Łatwo zauważyć, że siły oddziaływania ładunku umieszczonego w punkcie D z ładunkami umieszczonymi w punktach C i A się równoważą, zatem wypadkowa siła jest równa sile oddziaływania elektrostatycznego między ładunkami B i D.
Zsumowano wszystkie siły działające na ładunek, a za odległość r24 przyjęto połowę przekątnej kwadratu o boku a.
Zadanie 12.4.1
114Zadanie 12.4.4
115Zadanie 12.1.4
96Zadanie 12.1.5
96Zadanie 12.1.6
97Zadanie 12.1.7
97Zadanie 12.1.8
97Zadanie 12.4.10
116Zadanie 12.1.11
97Zadanie 12.1.14
98Zadanie 12.2.1
103Zadanie 12.2.2
103Zadanie 12.5.1
122Zadanie 12.5.3
123Zadanie 12.5.5
124Zadanie 12.5.7
124Zadanie 12.6.2
131Zadanie 12.6.3
132Zadanie 12.6.6
132Zadanie 12.6.7
133Zadanie 12.6.8
133Zadanie 12.6.9
133Zadanie 12.6.13
134Zadanie 12.1.4
140Zadanie 12.1.8
140Zadanie 12.1.11
141Zadanie 12.1.14
142Zadanie 12.1.15
142Zadanie 1.1
147Zadanie 1.2
148Zadanie 1.3
148