Elektron wlatuje z prędkością
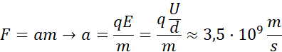
Najpierw warto znaleźć przyspieszenie w kierunku pionowym.
Skąd można znaleźć prędkość pionową:
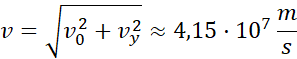
I prędkość całkowitą:
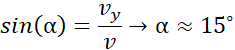
Skąd można znaleźć kąt, na jaki odchylił się elektron:
Skorzystano z faktu, że elektron porusza się w jednorodnym polu elektrycznym, przez co wykonuje ruch jednostajnie przyspieszony. Do znalezienia prędkości i kąta odchylenia skorzystano z twierdzenia Pitagorasa i podstawowych tożsamości trygonometrycznych.
Zadanie 12.4.1
114Zadanie 12.4.4
115Zadanie 12.1.4
96Zadanie 12.1.5
96Zadanie 12.1.6
97Zadanie 12.1.7
97Zadanie 12.1.8
97Zadanie 12.4.10
116Zadanie 12.1.11
97Zadanie 12.1.14
98Zadanie 12.2.1
103Zadanie 12.2.2
103Zadanie 12.5.1
122Zadanie 12.5.3
123Zadanie 12.5.5
124Zadanie 12.5.7
124Zadanie 12.6.2
131Zadanie 12.6.3
132Zadanie 12.6.6
132Zadanie 12.6.7
133Zadanie 12.6.8
133Zadanie 12.6.9
133Zadanie 12.6.13
134Zadanie 12.1.4
140Zadanie 12.1.8
140Zadanie 12.1.11
141Zadanie 12.1.14
142Zadanie 12.1.15
142Zadanie 1.1
147Zadanie 1.2
148Zadanie 1.3
148