Zadanie

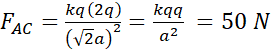
Ładunki +q, +q, –2q, +q umieszczono odpowiednio w bokach kwadratu ABCD o boku a. Znajdź wypadkową sił działających na ładunek umieszczony w wierzchołku A, a także jej kierunek, wiedząc, że siła oddziaływania ładunków w punktach A i D wynosi . .

Rozwiązanie

Wyjaśnienie

Zadania z tego działu
Pole elektryczne
86