Znajdź odległość od środka czaszy generatora Van de Graffa, w której potencjał wynosi 90 kV.
Wiedząc, że potencjał pochodzący od metalowej sfery dany jest wzorem:
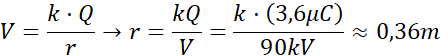
Zatem, aby znaleźć odległość, na której potencjał będzie mieć poszukiwaną wartość, wystarczy przekształcić wzór:
Skorzystano ze wzoru na potencjał w pobliżu przewodzącej kuli, a także znajomości ładunku wewnątrz – poprzedni podpunkt.
Zadanie 12.4.1
114Zadanie 12.4.4
115Zadanie 12.1.4
96Zadanie 12.1.5
96Zadanie 12.1.6
97Zadanie 12.1.7
97Zadanie 12.1.8
97Zadanie 12.4.10
116Zadanie 12.1.11
97Zadanie 12.1.14
98Zadanie 12.2.1
103Zadanie 12.2.2
103Zadanie 12.5.1
122Zadanie 12.5.3
123Zadanie 12.5.5
124Zadanie 12.5.7
124Zadanie 12.6.2
131Zadanie 12.6.3
132Zadanie 12.6.6
132Zadanie 12.6.7
133Zadanie 12.6.8
133Zadanie 12.6.9
133Zadanie 12.6.13
134Zadanie 12.1.4
140Zadanie 12.1.8
140Zadanie 12.1.11
141Zadanie 12.1.14
142Zadanie 12.1.15
142Zadanie 1.1
147Zadanie 1.2
148Zadanie 1.3
148