Znajdź ładunek zgromadzony na kuli generatora Van de Graaffa o promieniu R = 12 cm i napięciu między czaszą a ziemią równym 270 kV.
Wiedząc, że potencjał na powierzchni metalowej kuli dany jest wzorem:
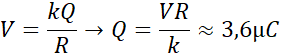
Zatem, aby znaleźć ładunek zgromadzony na niej, wystarczy przekształcić wzór:
Skoro generator uziemiono, to wiadomo, że potencjał równy jest napięciu na generatorze, ponieważ z definicji napięcie jest różnicą potencjałów, gdzie z kolei tutaj jeden z nich jest równy zero, zatem napięcie równe jest drugiemu potencjałowi.
Zadanie 12.4.1
114Zadanie 12.4.4
115Zadanie 12.1.4
96Zadanie 12.1.5
96Zadanie 12.1.6
97Zadanie 12.1.7
97Zadanie 12.1.8
97Zadanie 12.4.10
116Zadanie 12.1.11
97Zadanie 12.1.14
98Zadanie 12.2.1
103Zadanie 12.2.2
103Zadanie 12.5.1
122Zadanie 12.5.3
123Zadanie 12.5.5
124Zadanie 12.5.7
124Zadanie 12.6.2
131Zadanie 12.6.3
132Zadanie 12.6.6
132Zadanie 12.6.7
133Zadanie 12.6.8
133Zadanie 12.6.9
133Zadanie 12.6.13
134Zadanie 12.1.4
140Zadanie 12.1.8
140Zadanie 12.1.11
141Zadanie 12.1.14
142Zadanie 12.1.15
142Zadanie 1.1
147Zadanie 1.2
148Zadanie 1.3
148