Skul.pl
  • Opracowania zadań z podręczników
  • Fizyka. Klasa 7. Podręcznik - rozwiązania i odpowiedzi
  • Zadanie 5

Fizyka. Klasa 7. Podręcznik - rozwiązania i odpowiedzi

Zeszyt ćwiczeń, Wydawnictwo: MAC
Poprzednie

Zadanie 5 - strona 56

Następne

Zadanie

W tym zadaniu musisz poprawnie wpisać informacje w tabeli.

Rozwiązanie

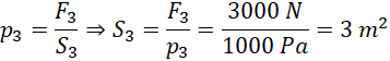
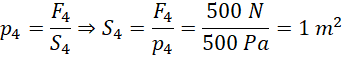
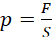
Ciśnienie oblicza się ze wzoru:

Skul

Wyjaśnienie

Stosując wzór na ciśnienie, przekształć go tak, by otrzymać szukaną wartość. Oznacza to obustronne pomnożenie przez powierzchnię (by otrzymać siłę). Jeśli chcesz otrzymać powierzchnię, otrzymany po poprzedniej operacji wzór musisz podzielić przez ciśnienie.

Poprzednie
Następne

Fizyka - wybrane pytania

Zadanie 48.4, strona 156, Fizyka. Klasa 2. Zakres rozszerzony. Zbiór zadań - rozwiązania i odpowiedzi
Ćwiczenie 2.12., strona 23, Fizyka. Klasa 1-3. Zakres podstawowy. Zbiór zadań - rozwiązania i odpowiedzi
Zadanie 13., strona 135, Zrozumieć fizykę 4. Zakres rozszerzony. Zbiór zadań - rozwiązania i odpowiedzi
Zadanie 8, strona 62, Fizyka. Klasy 1-3. Zakres podstawowy. Zbiór zadań - rozwiązania i odpowiedzi
Ćwiczenie 2., strona 67, Fizyka. Klasa 8. Zeszyt ćwiczeń - rozwiązania i odpowiedzi
Zadanie 4., strona 21, Fizyka. Klasa 1. Zakres rozszerzony. Podręcznik - rozwiązania i odpowiedzi
Zadanie 11., strona 250, Zrozumieć fizykę 4. Zakres rozszerzony. Zbiór zadań - rozwiązania i odpowiedzi
Zadanie 12., strona 135, Zrozumieć fizykę 4. Zakres rozszerzony. Zbiór zadań - rozwiązania i odpowiedzi
Zadanie 5, strona 82, Spotkania z fizyką. Klasa 7. Podręcznik - rozwiązania i odpowiedzi
Zadanie 5, strona 99, Spotkania z fizyką. Klasa 8. Zeszyt ćwiczeń - rozwiązania i odpowiedzi
REKLAMA
Skul
Zadania z tego działu
4. W powietrzu i w wodzie
55
4.1 Ciśnienie i jego pomiar
55

Zadanie 1

55

Zadanie 2

55

Zadanie 3

55

Zadanie 4

56

Podpunkt a)

56

Podpunkt b)

56

Podpunkt c)

56

Podpunkt d)

56

Zadanie 5

56

Zadanie 6

56

Podpunkt a)

56

Podpunkt b)

56

Podpunkt c)

56

Zadanie 7

56

Zadanie 8

57

Zadanie 13

57
4.2 Ciśnienie hydrostatyczne i ciśnienie atmosferyczne
58

Zadanie 1

58

Zadanie 2

58

Zadanie 3

58

Podpunkt a)

58

Podpunkt b)

58

Zadanie 4

59

Podpunkt a)

59

Podpunkt b)

59

Podpunkt c)

59

Zadanie 5

59

Zadanie 6

59

Zadanie 7

60

Zadanie 8

60
4.3 Prawo Pascala i jego zastosowanie
61

Zadanie 1

61

Zadanie 2

61

Zadanie 3

61

Zadanie 4

62

Zadanie 5

62

Zadanie 6

62
4.4 Prawo Archimedesa
63

Zadanie 1

63

Zadanie 2

63

Podpunkt a)

63

Podpunkt b)

63

Zadanie 3

63

Zadanie 4

65

Zadanie 5

65

Zadanie 6

65

Zadanie 7

65

Zadanie 8

65

Zadanie 9

66

Zadanie 10

66

Zadanie 11

66
4.5 Warunki pływania ciał
67

Zadanie 1

67

Podpunkt a)

67

Podpunkt b)

67

Podpunkt c)

67

Zadanie 2

67

Zadanie 3

67

Zadanie 4

68

Zadanie 5

68

Zadanie 6

68
Podsumowanie działu 4
69

Zadanie 1

69

Zadanie 2

69

Zadanie 3

69

Zadanie 4

69

Zadanie 5

69

Zadanie 6

69

Zadanie 7

70

Zadanie 8

70

Zadanie 9

70

Zadanie 10

70

Zadanie 11

70

Zadanie 12

70
Pełny spis treści
Skul
Artboard 1
Skul.pl
  • Napisz do nas
  • FAQ
  • Mapa Serwisu
  • Google Play
  • App Store

Korzystanie z portalu oznacza akceptację Regulaminu.
Polityka prywatności. Ustawienia preferencji. Copyright: INTERIA.PL 1999-2023 Wszystkie prawa zastrzeżone.