Skul.pl
  • Opracowania zadań z podręczników
  • Fizyka. Klasa 7. Podręcznik - rozwiązania i odpowiedzi
  • Zadanie 8

Fizyka. Klasa 7. Podręcznik - rozwiązania i odpowiedzi

Zeszyt ćwiczeń, Wydawnictwo: MAC
Poprzednie

Zadanie 8 - strona 65

Następne

Zadanie

W tym zadaniu musisz na podstawie otrzymanej informacji do zadania, odpowiedzieć na zadane pytanie.

Rozwiązanie

Skul

Wyjaśnienie

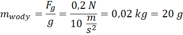
Masa jest ilorazem ciężaru i przyspieszenia grawitacyjnego.

Poprzednie
Następne

Fizyka - wybrane pytania

Zadanie 1, strona 73, To jest fizyka. Klasa 8. Zeszyt ćwiczeń - rozwiązania i odpowiedzi
Zadanie 10., strona 220, Zrozumieć fizykę 4. Zakres rozszerzony. Zbiór zadań - rozwiązania i odpowiedzi
Zadanie 4., strona 156, Spotkania z fizyką. Klasa 8. Podręcznik - rozwiązania i odpowiedzi
Zadanie 1., strona 132, Odkryć fizykę. Klasa 3. Zakres podstawowy. Podręcznik - rozwiązania i odpowiedzi
Zadanie 5.6.14., strona 207, Zrozumieć fizykę. Klasa 1. Zakres rozszerzony. Zbiór zadań - rozwiązania i odpowiedzi
Zadanie 4., strona 30, Świat fizyki. Klasa 8. Podręcznik - rozwiązania i odpowiedzi
Ćwiczenie 2., strona 38, Świat fizyki. Klasa 7. Zeszyt ćwiczeń - rozwiązania i odpowiedzi
Zadanie 2., strona 15, Fizyka z plusem. Klasa 8. Podręcznik - rozwiązania i odpowiedzi
Zadanie 4., strona 159, Fizyka. Klasa 2. Podręcznik. Zakres podstawowy - rozwiązania i odpowiedzi
Zadanie sprawdzające 2., strona 34, Świat fizyki. Klasa 8. Podręcznik - rozwiązania i odpowiedzi
REKLAMA
Skul
Zadania z tego działu
4. W powietrzu i w wodzie
55
4.1 Ciśnienie i jego pomiar
55

Zadanie 1

55

Zadanie 2

55

Zadanie 3

55

Zadanie 4

56

Podpunkt a)

56

Podpunkt b)

56

Podpunkt c)

56

Podpunkt d)

56

Zadanie 5

56

Zadanie 6

56

Podpunkt a)

56

Podpunkt b)

56

Podpunkt c)

56

Zadanie 7

56

Zadanie 8

57

Zadanie 13

57
4.2 Ciśnienie hydrostatyczne i ciśnienie atmosferyczne
58

Zadanie 1

58

Zadanie 2

58

Zadanie 3

58

Podpunkt a)

58

Podpunkt b)

58

Zadanie 4

59

Podpunkt a)

59

Podpunkt b)

59

Podpunkt c)

59

Zadanie 5

59

Zadanie 6

59

Zadanie 7

60

Zadanie 8

60
4.3 Prawo Pascala i jego zastosowanie
61

Zadanie 1

61

Zadanie 2

61

Zadanie 3

61

Zadanie 4

62

Zadanie 5

62

Zadanie 6

62
4.4 Prawo Archimedesa
63

Zadanie 1

63

Zadanie 2

63

Podpunkt a)

63

Podpunkt b)

63

Zadanie 3

63

Zadanie 4

65

Zadanie 5

65

Zadanie 6

65

Zadanie 7

65

Zadanie 8

65

Zadanie 9

66

Zadanie 10

66

Zadanie 11

66
4.5 Warunki pływania ciał
67

Zadanie 1

67

Podpunkt a)

67

Podpunkt b)

67

Podpunkt c)

67

Zadanie 2

67

Zadanie 3

67

Zadanie 4

68

Zadanie 5

68

Zadanie 6

68
Podsumowanie działu 4
69

Zadanie 1

69

Zadanie 2

69

Zadanie 3

69

Zadanie 4

69

Zadanie 5

69

Zadanie 6

69

Zadanie 7

70

Zadanie 8

70

Zadanie 9

70

Zadanie 10

70

Zadanie 11

70

Zadanie 12

70
Pełny spis treści
Skul
Artboard 1
Skul.pl
  • Napisz do nas
  • FAQ
  • Mapa Serwisu
  • Google Play
  • App Store

Korzystanie z portalu oznacza akceptację Regulaminu.
Polityka prywatności. Ustawienia preferencji. Copyright: INTERIA.PL 1999-2023 Wszystkie prawa zastrzeżone.