Skul.pl
  • Opracowania zadań z podręczników
  • Fizyka. Klasa 7. Podręcznik - rozwiązania i odpowiedzi
  • Podpunkt c)

Fizyka. Klasa 7. Podręcznik - rozwiązania i odpowiedzi

Zeszyt ćwiczeń, Wydawnictwo: MAC
Poprzednie

Zadanie 4, c) - strona 59

Następne

Zadanie

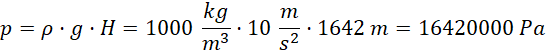
W tym zadaniu musisz podać, jaką wartość ma ciśnienie hydrostatyczne.

Rozwiązanie

Skul

Wyjaśnienie

Skorzystaj ze wzoru na ciśnienie hydrostatyczne, który jest iloczynem gęstości, przyspieszenia ziemskiego i wysokości słupa cieczy. Pamiętaj o odpowiednich jednostkach.

Poprzednie
Następne

Fizyka - wybrane pytania

Zadanie 9.4, strona 56, Fizyka. Klasa 4. Zakres rozszerzony. Zbiór zadań - rozwiązania i odpowiedzi
Zadanie 2., strona 141, Fizyka. Klasa 1. Zakres rozszerzony. Podręcznik - rozwiązania i odpowiedzi
Zadanie 2.3.6., strona 43, Zrozumieć fizykę. Klasa 1. Zakres rozszerzony. Zbiór zadań - rozwiązania i odpowiedzi
Zadanie 10.96., strona 140, Fizyka. Klasa 7-8. Zbiór zadań - rozwiązania i odpowiedzi
Zadanie 11., strona 165, Fizyka. Klasa 7-8. Zbiór zadań - rozwiązania i odpowiedzi
Zadanie 36.6 ., strona 130, Zbiór zadań z fizyki dla szkoły podstawowej. Klasa 7-8 - rozwiązania i odpowiedzi
Ćwiczenie 9.2, strona 45, Fizyka. Klasa 3. Zakres rozszerzony. Zbiór zadań - rozwiązania i odpowiedzi
Zadanie 7, strona 78, Spotkania z fizyką. Klasa 7. Podręcznik - rozwiązania i odpowiedzi
Zadanie 12, strona 41, Sprawdziany Fizyka. Klasa 7-8. Zbiór zadań - rozwiązania i odpowiedzi
Zadanie 16.3., strona 94, Fizyka. Klasa 1. Zbiór zadań. Zakres rozszerzony – rozwiązania i odpowiedzi
REKLAMA
Skul
Zadania z tego działu
4. W powietrzu i w wodzie
55
4.1 Ciśnienie i jego pomiar
55

Zadanie 1

55

Zadanie 2

55

Zadanie 3

55

Zadanie 4

56

Podpunkt a)

56

Podpunkt b)

56

Podpunkt c)

56

Podpunkt d)

56

Zadanie 5

56

Zadanie 6

56

Podpunkt a)

56

Podpunkt b)

56

Podpunkt c)

56

Zadanie 7

56

Zadanie 8

57

Zadanie 13

57
4.2 Ciśnienie hydrostatyczne i ciśnienie atmosferyczne
58

Zadanie 1

58

Zadanie 2

58

Zadanie 3

58

Podpunkt a)

58

Podpunkt b)

58

Zadanie 4

59

Podpunkt a)

59

Podpunkt b)

59

Podpunkt c)

59

Zadanie 5

59

Zadanie 6

59

Zadanie 7

60

Zadanie 8

60
4.3 Prawo Pascala i jego zastosowanie
61

Zadanie 1

61

Zadanie 2

61

Zadanie 3

61

Zadanie 4

62

Zadanie 5

62

Zadanie 6

62
4.4 Prawo Archimedesa
63

Zadanie 1

63

Zadanie 2

63

Podpunkt a)

63

Podpunkt b)

63

Zadanie 3

63

Zadanie 4

65

Zadanie 5

65

Zadanie 6

65

Zadanie 7

65

Zadanie 8

65

Zadanie 9

66

Zadanie 10

66

Zadanie 11

66
4.5 Warunki pływania ciał
67

Zadanie 1

67

Podpunkt a)

67

Podpunkt b)

67

Podpunkt c)

67

Zadanie 2

67

Zadanie 3

67

Zadanie 4

68

Zadanie 5

68

Zadanie 6

68
Podsumowanie działu 4
69

Zadanie 1

69

Zadanie 2

69

Zadanie 3

69

Zadanie 4

69

Zadanie 5

69

Zadanie 6

69

Zadanie 7

70

Zadanie 8

70

Zadanie 9

70

Zadanie 10

70

Zadanie 11

70

Zadanie 12

70
Pełny spis treści
Skul
Artboard 1
Skul.pl
  • Napisz do nas
  • FAQ
  • Mapa Serwisu
  • Google Play
  • App Store

Korzystanie z portalu oznacza akceptację Regulaminu.
Polityka prywatności. Ustawienia preferencji. Copyright: INTERIA.PL 1999-2023 Wszystkie prawa zastrzeżone.