Światło widzialne mieści się w zakresie od 380 nm do 780 nm, czyli:
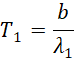
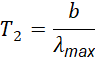
Stosujesz prawo Wiena
gdzie:
Zatem zgodnie z tym wzorem temperaturę możesz przedstawić jako:
Zakres temperatur odpowiadających promieniowaniu światła widzialnego:
dla dolnej granicy długości fal światła widzialnego:
dla górnej granicy długości fal światła widzialnego:
Tak więc temperatura odpowiadająca górnej granicy światła widzialnego wynosi około
Odpowiedź: Minimalna temperatura wynosi około 3,700 K, a maksymalna około 7,600 K.
Aby obliczyć maksymalną i minimalną temperaturę ciała, którego największa moc promieniowania przypada na światło widzialne, musisz wykonać następujące kroki:
Najpierw zidentyfikuj zakres długości fal światła widzialnego. Długości te zwykle mieszczą się między 380 nanometrów a 780 nanometrów. Będą one odpowiadały minimalnej i maksymalnej długości fali światła widzialnego.
Kolejnym krokiem jest skorzystanie z prawa Wiena. To prawo mówi o relacji między temperaturą ciała a długością fali, przy której promieniowanie ciała jest najintensywniejsze. W skrócie, im wyższa temperatura ciała, tym krótsza długość fali, na której emituje ono najwięcej energii, i odwrotnie.
Mając te informacje, możesz obliczyć temperaturę dla obu skrajnych długości fal światła widzialnego. Dla krótszej długości fali, czyli 380 nanometrów, temperatura ciała będzie wyższa. Dla dłuższej długości fali, czyli 780 nanometrów, temperatura ciała będzie niższa.
Podsumowując, ciało emitujące najwięcej energii na krótszej długości fali światła widzialnego będzie miało wyższą temperaturę, podczas gdy ciało emitujące najwięcej energii na dłuższej długości fali będzie miało niższą temperaturę. Te dwie wartości temperatury będą Twoją odpowiedzią na zadane pytanie.