Dane:
Szukane:
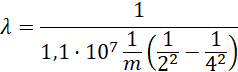
Korzystając ze wzoru Rydbergena:
Przy czym:
Podstaw do wzoru:
Odpowiedź: Długość fali absorbowanego światła to przybliżenie 485 nm.
Rozpocznij od zidentyfikowania podanych wartości:
- Numer serii linii widmowej m wynosi 2.
- Numer linii widmowej n wynosi 4.
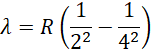
- Stała Rydberga (R) to
Następnie, korzystając ze wzoru Rydberga:
Wstaw podane wartości m i n do wzoru:
Dokonaj obliczeń w nawiasie, a następnie pomnóż wynik przez stałą R.
W końcu, przekształć otrzymaną wartość na jednostki nanometrów (nm) i przedstaw wynik w odpowiedniej formie.