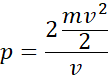
Wzór na ciało makroskopowe, które się porusza:
Przy czym:
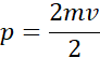
Oblicz energię kinetyczną ciała makroskopowego:
Przy czym:
Co daje:
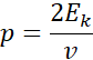
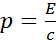
Dla ciał makroskopowych zasady działania różnią się od tych obowiązujących dla fotonów.
W zadaniu musisz zrozumieć podstawowe zależności dotyczące ruchu ciał makroskopowych, a konkretnie ich pędu oraz energii kinetycznej. Musisz również zdać sobie sprawę, że dla ciał makroskopowych zasady te różnią się od tych, które dotyczą fotonów. Więc, przy rozwiązywaniu zadań, zwróć uwagę na to, czy rozważane ciało jest makroskopowe czy też czy jest to foton, bo od tego zależą używane wzory.