Dane:
Szukane:
Moc promieniowania podczerwonego przepuszczanego przez szybę szklarni wynosi P (wewnątrz szklarni). Skoro szyba przepuszcza
Na zewnątrz szklarnia będzie w równowadze termodynamicznej z otoczeniem, i tam temperatura wynosi T, a w środku szklarni temperatura wynosi
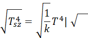
Stosując prawo Stefana-Boltzmanna, które mówi, że moc promieniowania jest proporcjonalna do czwartej potęgi bezwzględnej temperatury otrzymujesz proporcję:
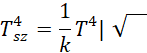
Co daje:
Podstaw dane:
W pierwszym kroku korzystasz z prawa Stefana-Boltzmanna, aby określić moc promieniowania emitowanego przez glebę na zewnątrz szklarni. Następnie zakładasz, że gleba w szklarni emituje promieniowanie o dwukrotnej mocy (z uwagi na odbicie przez szybę). Porównując obie moce, możesz wyznaczyć temperaturę gleby w szklarni.
Proszę zwrócić uwagę, że powyższe rozwiązanie jest uproszczone i nie uwzględnia wielu czynników rzeczywistych, takich jak właściwości termiczne gleby, strumień promieniowania słonecznego docierający do gleby w szklarni, czy opór cieplny szyby. Aby uzyskać dokładne wyniki, należy uwzględnić te czynniki w bardziej skomplikowanym modelu.