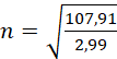
Dane:
Szukane:
Podana długość fali odpowiada promieniowaniu podczerwonemu. Korzystając z rys. 17.33 na stronie 164, przeskok elektronu może mieć miejsce z orbity 6, 5 lub 4 na 3 orbitę. Na potrzeby zadania załóż, że
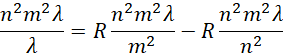
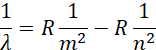
Stosując wzór Rydberga:
Przy czym:
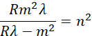
Rozpocznij od przekształcenia równania względem
Podstaw do wzoru:
Odpowiedź:
Elektron przeskoczył z orbity 6 na orbitę 3.
Aby rozwiązać to zadanie, musisz najpierw zidentyfikować podane wartości oraz stałe fizyczne, w tym długość fali
Następnie, musisz wykorzystać wzór Rydberga do określenia zależności między długością fali a numerami serii linii widmowej
Po wstawieniu wszystkich wartości do wzoru, dokonaj odpowiednich obliczeń, aby znaleźć poszukiwaną wartość