Odpowiedź: Prędkość wywrotki względem jezdni:
Prędkość ciężarówki wyprzedzającej względem jezdni:
Prędkość ciężarówki jadącej z naprzeciwka względem jezdni:
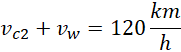
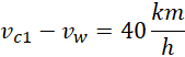
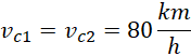
Obie ciężarówki poruszają się z takimi samymi prędkościami względem jezdni:
Oraz:
Więc: