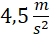
W ciągu pierwszych 2 sekund ruchu sportowiec rozpędza się do
Następnie przez 11 sekund porusza się ruchem jednostajnym – przyspieszenie
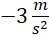
W kolejnym etapie w ciągu 5 sekund zmienia swoją prędkość o
Potem przez 11 sekund ruch jednostajny – przyspieszenie