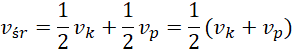
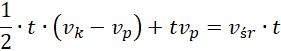
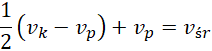
Średnia prędkość ruch ciała A to prędkość, dla jakiej ciało B, poruszające się z tą prędkością przez czas trwania ruchu, pokona taką samą odległość jak ciało A. Odległość tą możemy policzyć jako pole pod wykresem funkcji prędkości od czasu. Jeśli ciało A poruszało się ruchem jednostajnie przyspieszonym, to wykres ten jest linią prostą, a więc