Odczytaj z wykresu prędkość ciała.
Odpowiedź: Prędkość ciała wynosi .
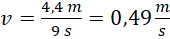
Możemy zauważyć, że między 1 a 10 sekundą ruchu położenie ciała zwiększyło się o 4,4 metra, zatem w ciągu 9 sekund ciało pokonało odległość 4,4 metra, a więc jego prędkość wynosi:
Zadanie 1
Zadanie 2
Zadanie 3
Podpunkt a)
Podpunkt b)
Podpunkt c)
Podpunkt d)
Zadanie 4
Zadanie 5
Podpunkt e)
Zadanie 6
Zadanie 1.1
Zadanie 1.2
Zadanie 1.3
Zadanie 1.4
Zadanie 1.5
Zadanie 2.1
Zadanie 2.2
Zadanie 2.3
Zadanie 2.4
Zadanie 3.1
Zadanie 3.2
Zadanie 3.3
Zadanie 4.1
Zadanie 4.2
Zadanie 4.3