Niestety nie ma jednoznacznych rozwiązań do tego zadania, spróbuj zrobić je samodzielnie, posiłkując się treścią oraz dołączonymi przez nas podpowiedziami.
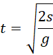
Czas reakcji jest równy czasowi spadania linijki, możemy go wyznaczyć, znając odległość, na jakiej została złapana oraz wartość przyspieszenia grawitacyjnego korzystając z tego wzoru:
Gdzie s – odległość, na jakiej została złapana linijka, g – przyspieszenie grawitacyjne.