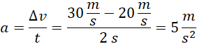
Odpowiedź: Przyspieszenie chwilowe w chwili t = 4 s wynosi
Z wykresu możemy odczytać, że między chwilą t = 3 s a chwilą t = 5 s ciało porusza się ruchem jednostajnie przyspieszonym, a więc przyspieszenie nie zmienia się i wynosi: