Samochód podczas rozpędzania się do prędkości pokonał odległość 100 metrów, jakie było jego przyspieszenie?
Przyspieszenie samochodu wynosiło .
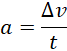
Korzystamy ze wzorów:
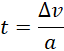
Przekształcamy drugi wzór:
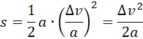
I podstawiamy do pierwszego:
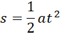
Ponownie przekształcamy wzór:
Zadanie 1
Zadanie 2
Zadanie 3
Podpunkt a)
Podpunkt b)
Podpunkt c)
Podpunkt d)
Zadanie 4
Zadanie 5
Podpunkt e)
Zadanie 6
Zadanie 1.1
Zadanie 1.2
Zadanie 1.3
Zadanie 1.4
Zadanie 1.5
Zadanie 2.1
Zadanie 2.2
Zadanie 2.3
Zadanie 2.4
Zadanie 3.1
Zadanie 3.2
Zadanie 3.3
Zadanie 4.1
Zadanie 4.2
Zadanie 4.3