Przy jakiej prędkości maszynista uruchomił hamulce, jeśli w ciągu 1 minuty i 40 sekund skład zwolnił do na drodze 1500 m.
Odpowiedź: Maszynista uruchomił hamulce przy prędkości .
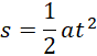
Na początku obliczamy przyspieszenie:
Więc:
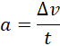
Następnie obliczamy prędkość początkową składu:
Zadanie 1
Zadanie 2
Zadanie 3
Podpunkt a)
Podpunkt b)
Podpunkt c)
Podpunkt d)
Zadanie 4
Zadanie 5
Podpunkt e)
Zadanie 6
Zadanie 1.1
Zadanie 1.2
Zadanie 1.3
Zadanie 1.4
Zadanie 1.5
Zadanie 2.1
Zadanie 2.2
Zadanie 2.3
Zadanie 2.4
Zadanie 3.1
Zadanie 3.2
Zadanie 3.3
Zadanie 4.1
Zadanie 4.2
Zadanie 4.3