Jaka jest wartość przyspieszenia średniego w czasie ruchu przedstawionego na wykresie?
Odpowiedź: Przyspieszenie średnie wynosi
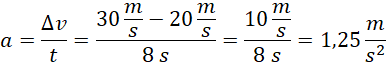
Początkowa prędkość motocykla wynosi , po 8 sekundach ruchu wzrosła ona do , a więc przyspieszenie średnie ma wartość:
Zadanie 1
Zadanie 2
Zadanie 3
Podpunkt a)
Podpunkt b)
Podpunkt c)
Podpunkt d)
Zadanie 4
Zadanie 5
Podpunkt e)
Zadanie 6
Zadanie 1.1
Zadanie 1.2
Zadanie 1.3
Zadanie 1.4
Zadanie 1.5
Zadanie 2.1
Zadanie 2.2
Zadanie 2.3
Zadanie 2.4
Zadanie 3.1
Zadanie 3.2
Zadanie 3.3
Zadanie 4.1
Zadanie 4.2
Zadanie 4.3