Zadanie

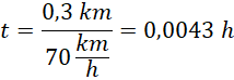
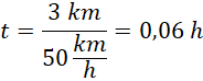
Z jaką maksymalną prędkością może poruszać się Pan Michał po zorientowaniu się, że jest na odcinku objętym pomiarem o długości 3 km, jeśli jechał przed 300 metrów z prędkością , a ograniczenie wynosi .

Rozwiązanie

Wyjaśnienie

Zadania z tego działu
Ruch prostoliniowy
40
Opis ruchu prostoliniowego
45
Prędkość w ruchu prostoliniowym
50
Analiza tekstu. Przyspieszenie pojazdów
81