Zadanie

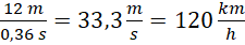
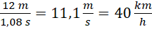
Oblicz prędkości ciężarówek obserwowanych przez kierowcę wywrotki wiedząc, że obie poruszały się z tą samą prędkością, jedna w kierunku jazdy wywrotki, druga w przeciwną stronę oraz że kierowca obserwował je przez odpowiednio 1,08 s i 0,36 s.

Rozwiązanie

Wyjaśnienie

Zadania z tego działu
Ruch prostoliniowy
40
Opis ruchu prostoliniowego
45
Prędkość w ruchu prostoliniowym
50
Analiza tekstu. Przyspieszenie pojazdów
81