Jaką drogę przebędzie pociąg podczas przyspieszania do , jeśli odbywa się ono z przyspieszeniem takim jak w drugiej minucie ruchu.
Odpowiedź: Pociąg pokona około 10 kilometrów, co stanowi drogi.
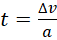
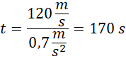
Z wykresu możemy odczytać, że przyspieszenie pociągu w drugiej minucie wynosi około . Ze wzoru możemy obliczyć czas rozpędzania pociągu do prędkości :
Znając czas i przyspieszenie możemy obliczyć drogę:
Zadanie 1
Zadanie 2
Zadanie 3
Podpunkt a)
Podpunkt b)
Podpunkt c)
Podpunkt d)
Zadanie 4
Zadanie 5
Podpunkt e)
Zadanie 6
Zadanie 1.1
Zadanie 1.2
Zadanie 1.3
Zadanie 1.4
Zadanie 1.5
Zadanie 2.1
Zadanie 2.2
Zadanie 2.3
Zadanie 2.4
Zadanie 3.1
Zadanie 3.2
Zadanie 3.3
Zadanie 4.1
Zadanie 4.2
Zadanie 4.3