Ile w kilometrach na godzinę wynosi prędkość początkowa i prędkość końcowa motocykla?
Odpowiedź:
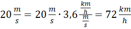
Prędkość początkowa:
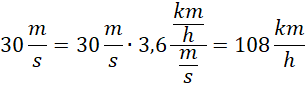
Prędkość końcowa:
Więc:
Zadanie 1
Zadanie 2
Zadanie 3
Podpunkt a)
Podpunkt b)
Podpunkt c)
Podpunkt d)
Zadanie 4
Zadanie 5
Podpunkt e)
Zadanie 6
Zadanie 1.1
Zadanie 1.2
Zadanie 1.3
Zadanie 1.4
Zadanie 1.5
Zadanie 2.1
Zadanie 2.2
Zadanie 2.3
Zadanie 2.4
Zadanie 3.1
Zadanie 3.2
Zadanie 3.3
Zadanie 4.1
Zadanie 4.2
Zadanie 4.3