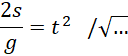
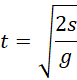
Wzór na czas lotu w spadku swobodnym.
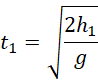
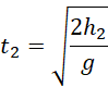
Czasy lotu obu kamieni:
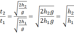
Iloraz czasów:
Odp. Drugi kamień będzie spadał 2 razy dłużej.
Wyznacz sobie czas lotu w spadku swobodnym, a następnie podłóż do wzorów podane wysokości. Aby obliczyć, ile razy dłużej trwał drugi lot, podziel przez drugi czas przez pierwszy czas.