Piłeczka spada na blat stołu:
Czas lotu:
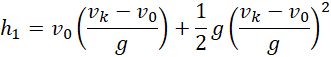
Wyznaczenie prędkości końcowej przy spadaniu:
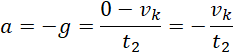
Piłka odbija się od stołu z prędkością końcową z poprzedniego etapu:
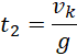
Czas odbicia:
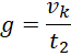
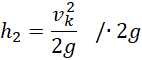
Prędkość końcowa wyznaczona drugim sposobem (II etap):
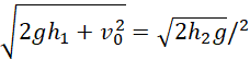
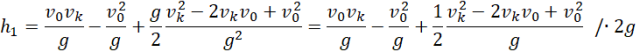
Przyrównanie wzorów na prędkości końcowe:
Prędkość początkowa:
Prędkość końcowa:
Czas spadania:
Czas odbicia:
Czas lotu piłeczki:
W tym zadaniu podziel sobie wyznaczony czas na dwa etapy: pierwszy, w którym piłeczka zostaje rzucona na stół z wysokości 1 m oraz drugi, kiedy piłeczka odbija się od stołu i wznosi się na wysokość 1,5 m. W każdym z tych etapów wyznacz sobie wzory na prędkość końcową, które możesz następnie do siebie przyrównać.