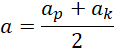
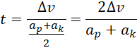
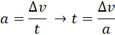
Zadanie

Motocykl poruszał się z prędkością 140 , wyprzedził radiowóz, który poruszał się z prędkością 90 . Policjanci postanowili go zatrzymać i po włączeniu koguta zaczęli jechać z przyspieszeniem 2,5 . Motocyklista nie zatrzymał się, kiedy policjanci dawali mu taki sygnał. Ponownie zaczął się pościg, przy czym kierowca radiowozu zmieniał biegi tak, jak przedstawiono to na wykresie. Na jego podstawie porównaj czasy zwiększania prędkości z 40 do 60 na drugim oraz czwartym biegu.

Rozwiązanie

Wyjaśnienie

Zadania z tego działu
2. Ruch prostoliniowy
24
Jak opisać położenie ciała
30
Opis ruchu prostoliniowego
34