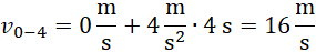
Na podstawie wykresu oblicz, jaką prędkość będzie miał samochód po 12 sekundach ruchu, jeśli jego początkowa prędkość wynosiła 0 .
Rozwiązanie
Wyjaśnienie
Początkowa prędkość wynosiła 0 . Z wykresu możesz odczytać, że przez kolejne 4 sekundy samochód jechał z przyspieszeniem. Oblicz zatem, jaka była prędkość samochodu po 4 sekundach. Następne 8 sekund hamował. Znów oblicz, jaką miał prędkość po kolejnych 8 sekundach, czyli w 12 sekundzie trwania ruchu.