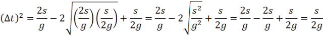
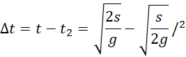
¼ drogi:
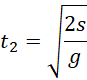
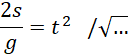
Cała droga:
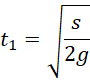
Czas:
Kamyk pokonał odległość ¾ drogi w ostatniej sekundzie. Nie znasz czasu lotu. Możesz obliczyć, czas, w jakim pokonał cały dystans oraz czas, w jakim pokonał ¼ odległości. Różnica tych czasów to będzie jedna sekunda. Na podstawie tych informacji układasz równanie, które pozwoli Ci wyznaczyć drogę, jaką pokonał kamyk w jedną sekundę.