Niebieski samochód:
Czerwony samochód:
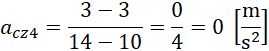
Najpierw wyznacz sobie zmiany przyspieszenia każdego z samochodów w danych fragmentach. Zmiana przyspieszenia na wykresie zależności prędkości od czasu charakteryzuje się tym, że zmienia się nachylenie prostej.