Zadanie

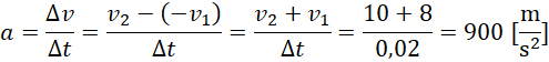
Wyznacz, jakie jest przyspieszenie piłki w trakcie odbicia, jeśli w czasie . jej prędkość z 1 zmieniła się do w trakcie odbicia.

Rozwiązanie

Wyjaśnienie

Zadania z tego działu
2. Ruch prostoliniowy
24
Jak opisać położenie ciała
30
Opis ruchu prostoliniowego
34