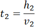
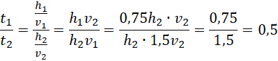
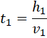
Zadanie

Z dwóch samolotów skoczyli spadochroniarze w tym samym czasie. Samoloty znajdowały się na takich odległościach, że , natomiast prędkości skoczków były w proporcji: . Oblicz, który ze skoczków opadał dłużej.

Rozwiązanie

Wyjaśnienie

Zadania z tego działu
2. Ruch prostoliniowy
24
Jak opisać położenie ciała
30
Opis ruchu prostoliniowego
34