Zadanie

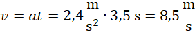
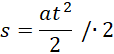
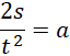
W tym zadaniu oblicz przyspieszenie zawodnika i prędkość, z jaką pokonał metę, jeśli pokonana droga przez wózek to 100 metrów, a zawodnik najpierw biegł ze stałym przyspieszeniem i w czasie 3,5 sekundy pokonał 14,7 metrów, a następnie, po przekroczeniu mety zwalniał i zatrzymał się 9,45 metrów za linią.

Rozwiązanie

Wyjaśnienie

Zadania z tego działu
2. Ruch prostoliniowy
24
Jak opisać położenie ciała
30
Opis ruchu prostoliniowego
34