Zadanie

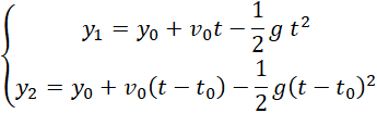
Z wyrzutni piłeczek wystrzelono piłkę do góry z prędkością 6 . Po 0,3 s wystrzelono drugą, tak samo, jak pierwszą. Piłeczki mają następujące równania: oraz . Twoim zadaniem jest wyznaczyć z tych równań czas oraz miejsce spotkania obu piłeczek.

Rozwiązanie

Wyjaśnienie

Zadania z tego działu
2. Ruch prostoliniowy
24
Jak opisać położenie ciała
30
Opis ruchu prostoliniowego
34