W tym zadaniu wybierz poprawną odpowiedź spośród podanych A – D, które będą stanowiły poprawne uzupełnienia zdania.
W ciągu jednej minuty pierwsza kulka wykonała A/B drgań, natomiast częstotliwość drgań drugiej kulki wyniosła C/D.
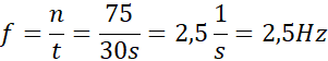
Dla pierwszej kulki wykonaj obliczenia, korzystając ze wzoru:
Dla drugiej kulki:
Zadanie 1
Zadanie 2
Zadanie 3
Zadanie 4
Zadanie 5
Zadanie 6
Zadanie 7
Podpunkt a)
Podpunkt b)
Podpunkt c)
Zadanie 8
Zadanie 9
Zadanie 10
Zadanie 11
Zadanie 12
Zadanie 13