W tym zadaniu oblicz średnicę krążka.
W tym zadaniu skorzystaj z podobieństwa trójkątów. Pozwoli ono wyznaczyć średnicę krążka.
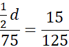
Aby zapisać zależność:
Musisz zauważyć, że należy wziąć połowę odcinka 30 cm oraz cały odcinek 75 cm + 50 cm.
Następnie wykonaj obliczenia:
Zadanie 1
Zadanie 2
Zadanie 3
Zadanie 4
Zadanie 5
Zadanie 6
Zadanie 7
Podpunkt a)
Podpunkt b)
Podpunkt c)
Zadanie 8
Zadanie 9
Zadanie 10
Zadanie 11
Zadanie 12
Zadanie 13